Logo

Ableitungsfunktionen

Lösungen

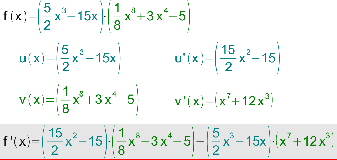
Aufgabe ii.9 a

Formel

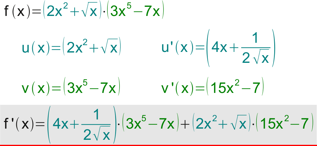
Aufgabe ii.9 b

Formel

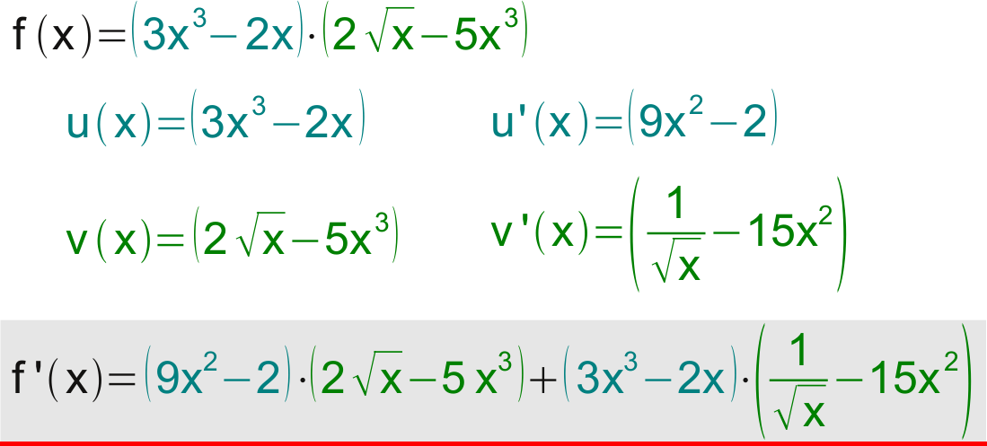
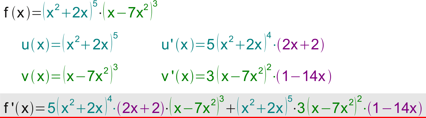
Aufgabe ii.9 c

Formel

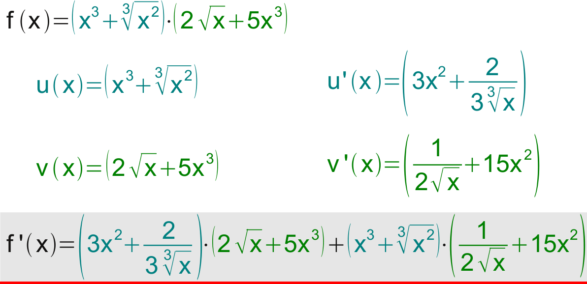
Aufgabe ii.9 d

Formel

Aufgabe ii.9 e

Formel

Aufgabe ii.9 f

Formel

Aufgabe ii.9 g

Formel

Aufgabe ii.9 h

Formel

Aufgabe ii.9 i

Formel

Aufgabe ii.9 j

Formel