Logo

Ableitungsfunktionen

Lösungen

Aufgabe ii.5 a

Formel

Aufgabe ii.5 b

Formel

Aufgabe ii.5 c

Formel

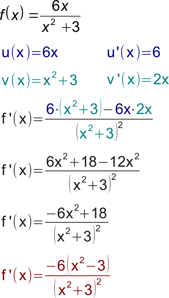
Aufgabe ii.5 d

Formel

Formel

Aufgabe ii.5 e

Formel

Aufgabe ii.5 f

Formel

Aufgabe ii.5 g

Formel

Aufgabe ii.5 h

Formel