Bei eingeschaltetem JavaScript würden Sie hier eine Navigationsleiste sehen!
Ableitungsfunktionen
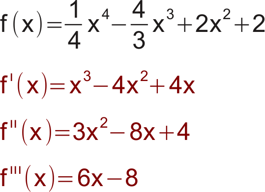
Lösungen
Aufgabe i.7 a
Aufgabe i.7 b