Bei eingeschaltetem JavaScript würden Sie hier eine Navigationsleiste sehen!
Ableitungsfunktionen
Lösungen
Aufgabe i.6 a
Aufgabe i.6 b
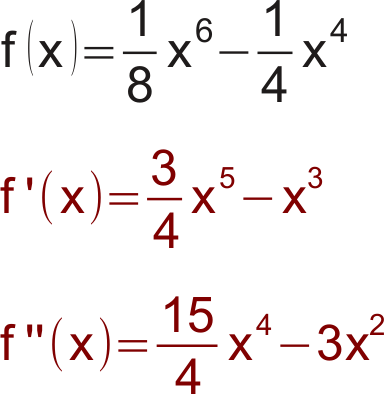
Aufgabe i.6 c
Aufgabe i.6 d