Bei eingeschaltetem JavaScript würden Sie hier eine Navigationsleiste sehen!
Ableitungsfunktionen
Lösungen
Aufgabe i.2 a
Aufgabe i.2 b
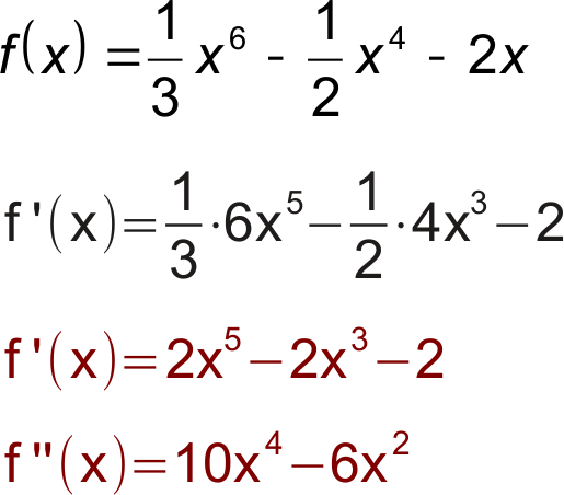
Aufgabe i.2 c